प्रदेश को हिलाने वाले ट्रासंफर, पुलिस विभाग में सबसे बड़ा स्ट्राइक,दर्जनों ASI सहित 200 से ज्यादा पुलिस कर्मियों के तबादले
Saturday, Mar 14, 2026-11:23 PM (IST)
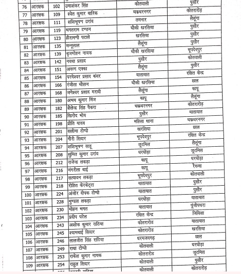
(रायगढ़): छतीसगढ़ में फिर एक बार पुलिस विभाग में बड़े स्तर पर तबादले हुए हैं। पुलिस विभाग में जंबो तबादले हुए हैं। एक दर्जन ASI समेत 219 पुलिस कर्मियों को यहां से वहां किया गया है। दरअसल एसएसपी शशि मोहन सिंह ने लंबे समय से एक ही जगह पर जमे पुलिसकर्मियों को हटाने के लिए बड़े स्तर पर जंबो तबादला लिस्ट जारी की है। इस सूची में एक एसआई, दर्जन भर एएसआई के साथ ही 219 पुलिसकर्मियों के नाम हैं। प्रशासनिक में मजबूती और कसावट लाने के मकसद से लॉ एंड ऑर्डर के लिए यह आदेश जारी किए गए है। देखिए कौन सा पुलिस कर्मचारी कौन से स्टेशन पर तैनात हुआ..









वहीं इससे पहले जिला जशपुर में एक बड़ा प्रशासनिक फेरबदल हुआ था। यहां जशपुर जिले में बड़े स्तर पर पुलिस अधिकारियों के तबादले हुए थे। कानून व्यवस्था को और मजबूत और प्रभावशाली बनाने के मकसद से ये फैसला किया गया था। DIG लाल उमेद सिंह ने इस बाबत आदेश जारी कर दिए थे। चार थाना प्रभारी सहित 11 अधिकारी इन तबादलों में प्रभावित हुए थे। कानून व्यवस्था मजबूत करने के लिए फेरबदल किया गया था।
पुलिस कप्तान और डीआईजी लाल उमेद सिंह की अनुशंसा पर हुए थे तबादले
दरअसल जिले की कानून-व्यवस्था को मजबूत तरीक से प्रभावी बनाने और सुचारु रुप से चलाने के लिए जशपुर जिले के पुलिस कप्तान और डीआईजी लाल उमेद सिंह की अनुशंसा पर पुलिस महकमे में ये बड़ा फेरबदल किया गया था।
4 थाना प्रभारी, 4 उप-निरीक्षक और 3 सहायक उप-निरीक्षकों का तबादला
जारी आदेशों के मुताबिक जिले के अलग-अलग थानों में पदस्थ 4 थाना प्रभारी, 4 उप-निरीक्षक और 3 सहायक उप-निरीक्षकों का तबादला किया गया था। आदेशों के मुताबिक सभी अधिकारियों को तत्काल नए पदस्थापना पर कार्यभार संभालने का निर्देश दिया था।

